Akım benzerliği nedir?
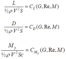
Rayleigh denklemi bir cisme etkiyen aerodinamik kuvvet ve momentin, cismin büyüklüğü, havaya nazaran hızı ve havanın yoğunluğu gibi boyutlu büyüklüklere bağlı olduğu gibi geometrik şekli ve pürüzlülüğüne, havaya nazaran hareket doğrultusuna ve Reynolds ve Mach sayısı gibi boyutsuz büyüklüklere bağlı olduğunu, buna karşılık aerodinamik katsayıların belirtilen boyutlu büyüklüklerden bağımsız olduğunu göstermektedir.
Katsayılar sadece geometrik şekil ve doğrultu ile Re ve M sayılarına bağlıdır.
Bu durumda, herhangi iki cismin büyüklükleri, havaya nazaran hızları ve içinde bulundukları havanın yoğunlukları farklı olsa dahi, bunlara etkiyecek aerodinamik kuvvet ve moment farklı olmakla birlikte, aerodinamik katsayıların aynı olması imkanı bulunmaktadır. Katsayıların aynı olmasının, aşağıdaki bağıntıların sağ taraflarında yer alan parametrelerin aynı olmasını gerektirdiği açıkça görülmektedir.

İki cisme etkiyen aerodinamik katsayıların aynı olması için fiziksel olarak iki cisim etrafındaki akımın Şekil’deki gösterildiği gibi benzer olması gerektiği söylenebilir.
Akımların benzer olmasının ilk şartı cisimlerin geometrik şekillerinin birbirine benzemesidir. Bu benzerliğe her iki cisim yüzeyi üzerindeki pürüzlülüklerin de dahil edilmesi gereklidir. Ayrıca cisimlerin havaya nazaran hareket doğrultuları da aynı olmalıdır. Bütün bu şartların sağlanması “geometrik benzerlik” olarak adlandırılır. Ancak geometrik benzerlik, akımların benzerliği için yeterli değildir. Bunun yanında her iki akıma ait Reynolds sayıları ve Mach sayıları da aynı olmalıdır. Geometrik benzerlikle birlikte bu şartların gerçekleşmesi ise “dinamik benzerlik” olarak adlandırılır. Dinamik benzerlik rüzgar tünellerindeki deneysel çalışmaların esasını teşkil eder. Şöyle ki; hiçbir zaman bir uçak olduğu gibi bir rüzgar tüneline sokularak uçuş hızındaki bir akım içerisinde deneye tabi tutulamaz. Henüz geliştirme (dizayn) aşamasında olan bir uçak uçurularak atmosfer içerisinde deneye tabi tutulamaz. Bunlar yerine uçakların küçük ölçekteki benzeri modelleri rüzgar tünellerine konularak Reynolds ve Mach sayıları uçuş şartlarındakine yakın olacak şekilde deneye tabi tutulur. Deneylerden elde edilen sonuçlar uçuş şartlarındaki değerlere dönüştürülür.

Kaynak: M. Adil Yükselen, “Aerodinamik Ders Notları”, Güz Yarıyılı, 2006-2007.





No Comments